Beranda
/ Rumus Merasionalkan Penyebut / T Tentukan Hasil Dari D Descubre Como Resolverlo En Qanda / Akan tetapi prinsip dasarnya sama, yaitu mengalikan dengan bentuk akar sekawannya.
Rumus Merasionalkan Penyebut / T Tentukan Hasil Dari D Descubre Como Resolverlo En Qanda / Akan tetapi prinsip dasarnya sama, yaitu mengalikan dengan bentuk akar sekawannya.
Rumus Merasionalkan Penyebut / T Tentukan Hasil Dari D Descubre Como Resolverlo En Qanda / Akan tetapi prinsip dasarnya sama, yaitu mengalikan dengan bentuk akar sekawannya.. Pecahan a rasional dan b merupakan bentuk akar bagian penyebutnya dapat dirasionalkan dengan cara mengalikan pecahan tersebut dengan sehingga pecahan tersebut menjadi seperti berikut. Kegiatan merasionalkan pada intinya mengubah bentuk akar pada penyebut menjadi bentuk bilangan rasional, yang pada akhirnya bilangan tersebut dapat dinyatakan dalam bentuk yang lebih sederhana. Namun hanya berlaku untuk pecahan yang berbentuk ini. Berdasarkan aturan perkalian bentuk akar dengan bilangan akar pangkat sama yaitu. Mencari ekspresi yang akan merasionalkan penyebut dalam soal ini.
Bilangan berpangkat dan bentuk akar pelajaran, soal & rumus bentuk pangkat pecahan | wardaya college Berdasarkan aturan perkalian bentuk akar dengan bilangan akar pangkat sama yaitu. A√c + b√c = (a + b) √c. Cara merasionalkan penyebut suatu pecahan bergantung pada bentuk pecahan itu sendiri. Merasionalkan penyebut, advertisements hallo sobat rumus matematika kali ini rumus matematika akan mengulas materi aljabar yaitu tentang bagaimana cara menyelesaikan operasi pecahan bentuk aljabar bentuk pecahan seperti apa tentunya temen temen sudah sangat paham karena sudah pernah diajarkan sejak
Tutorial Cara Merasionalkan Penyebut Pada Pecahan Bentuk Akar Bagian 3 Youtube from i.ytimg.com Rumus operasi pengurangan bentuk akar. Merasionalkan penyebut pecahan bentuk akar; Kegiatan merasionalkan pada intinya mengubah bentuk akar pada penyebut menjadi bentuk bilangan rasional, yang pada akhirnya bilangan tersebut dapat dinyatakan dalam bentuk yang lebih sederhana. Mencari ekspresi yang akan merasionalkan penyebut dalam soal ini. Dalam rumus akar matematika anda akan menemukan rumus yang sedikit lebih sulit dari biasanya. Maka dari itu kali ini kami akan memberikan anda beberapa rumus akar matematika agar nantinya anda bisa menjawab dengan mudah soal soal yang ada. About press copyright contact us creators advertise developers terms privacy policy & safety how youtube works test new features press copyright contact us creators. Dengan menggunakan sifat distributif, hasil kali kedua pasangan tersebut adalah sebagai berikut.
Rumus matematika merasionalkan bentuk akar.
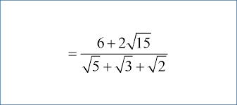
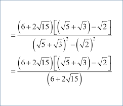
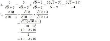
Jika dapat difaktorkan menjadi dengan bilangan berpangkat maka dapat disederhanakan sehingga Bentuk bentuk bilangan tersebut dapat disederhanakan dengan cara merasionalkan penyebut pecahan pecahan tersebut. Namun hanya berlaku untuk pecahan yang berbentuk ini. Rumus merasionalkan penyebut pecahan bentuk akar Karena merasionalkan penyebut dianggap susah ia tidak susah dan dianggap gampang/ mudah juga tidak. Berdasarkan aturan perkalian bentuk akar dengan bilangan akar pangkat sama yaitu. Setelah itu, pilih kpk terkecil. Pecahan a rasional dan b merupakan bentuk akar bagian penyebutnya dapat dirasionalkan dengan cara mengalikan pecahan tersebut dengan sehingga pecahan tersebut menjadi seperti berikut. Dengan merasionalkan penyebut, bentuk sederhana ( 3 ) / ( sqrt 6 ) adalah. Rumus di atas merupakan cara merasionalkan penyebut pecahan bentuk akar. Kumpulan soal pembuktian identitas trigonometri Merasionalkan penyebut bentuk akar dapat dilakukan dengan mengalikan penyebutnya dengan akar sekawannya sebagai berikut. About press copyright contact us creators advertise developers terms privacy policy & safety how youtube works test new features press copyright contact us creators.
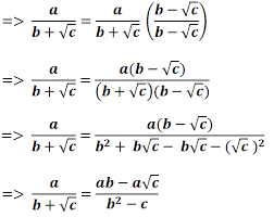
Bentuk akar sendiri secara umum termasuk dalam jenis bilangan irasional. Karena merasionalkan penyebut dianggap susah ia tidak susah dan dianggap gampang/ mudah juga tidak. Yang merupakan contoh bentuk akar yaitu nomor 1 2 dan 4. Untuk merasionalkan bentuk a/(b+√c), yakni: Merasionalkan penyebut dengan akar kubik 1.
Pengertian Bilangan Berpangkat Pecahan Beserta Contoh Soalnya Berpendidikan Com from www.berpendidikan.com Akan tetapi untuk kategori pecahan dengan bentuk akar di dalamnya tidak dapat dinyatakan dalam bentuk bilangan irasional. Jika dapat difaktorkan menjadi dengan bilangan berpangkat maka dapat disederhanakan sehingga Pangkat negatif dan pangkat pecahan; Berdasarkan aturan perkalian bentuk akar dengan bilangan akar pangkat sama yaitu. Cara merasionalkan penyebut sebenarnya cukup mudah yaitu dengan mengkali pembilang dan penyebut dengan akar yang nilainya sama pada penyebut. Kegiatan merasionalkan pada intinya mengubah bentuk akar pada penyebut menjadi bentuk bilangan rasional, yang pada akhirnya bilangan tersebut dapat dinyatakan dalam bentuk yang lebih sederhana. Karena merasionalkan penyebut dianggap susah ia tidak susah dan dianggap gampang/ mudah juga tidak. Dalam artikel tentang pengertian rumus dan operasi hitung bentuk akar telah dijelaskan bahwa bentuk akar adalah akar dari bilangan rasional yang hasilnya adalah bilangan irasional.
Penyebut yang berbentuk akar dari pecahan tersebut dapat diubah menjadi bilangan rasional.
Rumus merasionalkan penyebut pecahan bentuk akar Akan tetapi untuk kategori pecahan dengan bentuk akar di dalamnya tidak dapat dinyatakan dalam bentuk bilangan irasional. Ke, cara menghitung operasi perpangkatan pecahan bilangan, rumus perkalian pecahan biasa dan campuran contoh soal, merasionalkan penyebut pecahan bentuk akar, matematika kelas 9 bilangan bentuk akar sifat sifat dan, bilangan pangkat pecahan pengertian dan contoh soal, bilangan pecahan pengertian jenis 14 7 √35 = 2√35 14 7 35 = 2 35. Tuliskan kembali penyebut dalam bentuk eksponennya. Penyebut yang berbentuk akar dari pecahan tersebut dapat diubah menjadi bilangan rasional. About press copyright contact us creators advertise developers terms privacy policy & safety how youtube works test new features press copyright contact us creators. Rumus di atas merupakan cara merasionalkan penyebut pecahan bentuk akar. Namun hanya berlaku untuk serpihan yang berbentuk ini. Karena merasionalkan penyebut dianggap susah ia tidak susah dan dianggap gampang/ mudah juga tidak. Di dalam lingkaran yang berdiameter 20cm terdapat sebuah juring dengan besar sudutpusat 450. Jika dapat difaktorkan menjadi dengan bilangan berpangkat maka dapat disederhanakan sehingga Pecahan a rasional dan b merupakan bentuk akar bagian penyebutnya dapat dirasionalkan dengan cara mengalikan pecahan tersebut dengan sehingga pecahan tersebut menjadi seperti berikut.
Merasionalkan penyebut dengan akar kubik 1. Merasionalkan penyebut bentuk akar dapat dilakukan dengan mengalikan penyebutnya dengan akar sekawannya sebagai berikut. Namun hanya berlaku untuk pecahan yang berbentuk ini. Jika dapat difaktorkan menjadi dengan bilangan berpangkat maka dapat disederhanakan sehingga Setelah anda mengetahui cara merasionalkan bentuk akar pertama di atas, maka kita akan membahas bentuk akar kedua.
Bentuk Akar Sifat Dan Cara Merasionalkan Lengkap Dengan Contoh Soal Rebbosetau from latex.codecogs.com Merasionalkan penyebut bentuk akar dapat dilakukan dengan mengalikan penyebutnya dengan akar sekawannya sebagai berikut. Rumus operasi penjumlahan bentuk akar. Berdasarkan aturan perkalian bentuk akar dengan bilangan akar pangkat sama yaitu. Kumpulan soal pembuktian identitas trigonometri Mencari ekspresi yang akan merasionalkan penyebut dalam soal ini. Maka dari itu untuk mengubah penyebut bentuk akar menjadi bilangan rasional yang dibutuhkan ialah pengali. Dengan merasionalkan penyebut, bentuk sederhana ( 3 ) / ( sqrt 6 ) adalah. Cara merasionalkan bentuk a/(b±√c) adalah dengan mengalikan pembilang dan penyebut pecahan tersebut dengan bentuk sekawan dari penyebut b±√c.
Ke, cara menghitung operasi perpangkatan pecahan bilangan, rumus perkalian pecahan biasa dan campuran contoh soal, merasionalkan penyebut pecahan bentuk akar, matematika kelas 9 bilangan bentuk akar sifat sifat dan, bilangan pangkat pecahan pengertian dan contoh soal, bilangan pecahan pengertian jenis
Namun hanya berlaku untuk serpihan yang berbentuk ini. Jika dapat difaktorkan menjadi dengan bilangan berpangkat maka dapat disederhanakan sehingga Dalam rumus akar matematika anda akan menemukan rumus yang sedikit lebih sulit dari biasanya. Berdasarkan aturan perkalian bentuk akar dengan bilangan akar pangkat sama yaitu. Akan tetapi prinsip dasarnya sama, yaitu mengalikan dengan bentuk akar sekawannya. Dalam artikel tentang pengertian rumus dan operasi hitung bentuk akar telah dijelaskan bahwa bentuk akar adalah akar dari bilangan rasional yang hasilnya adalah bilangan irasional. Maka dari itu untuk mengubah penyebut bentuk akar menjadi bilangan rasional yang dibutuhkan ialah pengali. Cara merasionalkan penyebut sebenarnya cukup mudah yaitu dengan mengkali pembilang dan penyebut dengan akar yang nilainya sama pada penyebut. Mencari ekspresi yang akan merasionalkan penyebut dalam soal ini. Bentuk akar sendiri secara umum termasuk dalam jenis bilangan irasional. Karena merasionalkan penyebut dianggap susah ia tidak susah dan dianggap gampang/ mudah juga tidak. Di dalam lingkaran yang berdiameter 20cm terdapat sebuah juring dengan besar sudutpusat 450. Maka dari itu kali ini kami akan memberikan anda beberapa rumus akar matematika agar nantinya anda bisa menjawab dengan mudah soal soal yang ada.
Berbagi
Posting Komentar
untuk "Rumus Merasionalkan Penyebut / T Tentukan Hasil Dari D Descubre Como Resolverlo En Qanda / Akan tetapi prinsip dasarnya sama, yaitu mengalikan dengan bentuk akar sekawannya."
Posting Komentar untuk "Rumus Merasionalkan Penyebut / T Tentukan Hasil Dari D Descubre Como Resolverlo En Qanda / Akan tetapi prinsip dasarnya sama, yaitu mengalikan dengan bentuk akar sekawannya."